肉视频

主页 项目概况 实施办法 师生名录 课程建设 成果展示 拔尖探索与成效 下载文件 联系我们
  新闻动态


拔尖计划学生彭若男同学以第一作者在《Global Change Biology》发表拔尖成果


发布日期:2022-06-23

肉视频 2017级生态学专业本科生彭若男同学以第一作者在《Global Change Biology》发表拔尖计划研究成果文章“Tree growth is connected with distribution and warming-induced degradation of permafrost in southern Siberia”。

 

 

生长在多年冻土层南缘的半北方森林和北方森林易受气候变暖的影响。然而,气候变暖如何威胁分布在多年冻土上的优势树种的生长仍有待确定,特别是在变暖引起的多年冻土退化的同步过程中。西伯利亚南部多年冻土区的树木生长对气温升高和变暖引起的多年冻土区退化高度敏感。本研究在10个北方森林样地对535株优势种落叶松(包括兴安落叶松Larix gmelinii和西伯利亚落叶松L. sibirica)和白桦(Betula platyphylla)的树轮宽度进行了研究。比较了位于两个多年冻土区的样地树木年轮基面积指数(BAI)与气温、降水和帕尔默干旱程度指数(PDSI)的关系。结果表明,气候变暖导致的冻土退化通过增加根层额外的水分来源来影响树木径向生长。

 

图1 研究区多年冻土类型及样地位置
(研究区位于俄罗斯西伯利亚南部贝加尔湖东南侧)

 


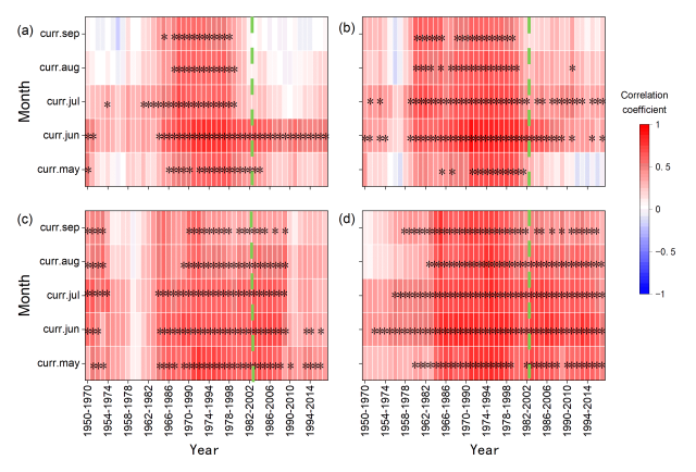
图2 不同多年冻土区生长季白桦和落叶松的BAI-PDSI移动窗口相关性分析

 

研究表明,多年冻土通过改变不同根系深度的木本植物根系环境来影响树木径向生长。在岛状多年冻土区,多年冻土退化显著促进白桦生长(P<0.05),因多年冻土融化满足其水分需求而不再受到干旱胁迫。 然而,落叶松由于其浅根系而径向生长受到干旱的影响。 在零星不连续多年冻土区,白桦和落叶松均受益于多年冻土融化,落叶松的径向生长量对PDSI变化不再敏感(P<0.05)。

 


图3 (a)岛状多年冻土和零星不连续多年冻土的植被和多年冻土概况
(b)岛状多年冻土和零星不连续多年冻土活动层的融化深度和融化速度

 

本研究以西伯利亚西伯利亚南部多年冻土区南缘北方森林为研究对象,分析了白桦和落叶松的径向生长及其与气候因子的关系。研究结果表明,在气候变暖的背景下,多年冻土活动层垂直深度的变化改变了不同根系深度的木本植物的根系环境,显着影响了树木的生长以及生长与气候的关系。在未来持续变暖的背景下,永久冻土的融化可能导致新的稳定状态,导致针叶林逐渐演化为阔叶林。本研究为树木生长对气候变暖和多年冻土退化的适应机制提供了证据,未来有必要监测永久冻土活动层厚度的变化,以更好地预测森林动态。

 

肉视频 2021级研究生彭若男为第一作者,刘鸿雁教授为论文通讯作者。该成果获得国家自然科学基金(41790422,41901057),地理科学拔尖人才培养计划等项目资助。

论文链接://doi.org/10.1111/gcb.16284

 

第一作者简介

彭若男,肉视频 2017级生态学专业本科生,2018年9月加入拔尖计划基地,师从刘鸿雁老师开展科研训练。曾获北京市优秀本科毕业设计奖、肉视频 “挑战杯”特等奖、肉视频 学习优秀奖、“未名地理学士”称号、铁汉一等奖学金等,毕业后保研至肉视频 继续攻读生态学专业硕士学位。

 

 

 

指导教师简介

刘鸿雁,肉视频 博雅特聘教授,国家杰出青年基金获得者,科技部“植被恢复与固碳耗水”创新团队负责人,德国洪堡学者。从事植被生态学与植物地理学研究,系统开展全球变化背景下东亚生态脆弱区研究。在Nature Communications, Global Change Biology, Earth Science Reviews等刊物发表SCI论文200余篇,出版《植物地理学》等教材及《第四纪生态学与全球变化》等。曾获教育部自然科学奖二等奖、北京市教学成果一等奖、肉视频 教学卓越奖等。担任中国生态学会常务理事、中国地理学会生物地理专业委员会主任及中国遥感应用协会环境遥感分会理事长等学术职务。

 

 

 

 
Copyright ? 2016 肉视频 版权所有